sábado, 9 de mayo de 2020

calor

cuando era jovencillo, una vez que mi abuela materna estaba de visita en nuestra casa, me puse a calentar un poco de agua para hacerme un café o un té, no recuerdo. y me dijo: “pon menos agua en el cazo, que no hace falta tanta! además, si pones mucha, tarda más en calentarse”.

efectivamente, el calor que hay que suministrar a un cuerpo -sólido, líquido o gaseoso- para aumentar su temperatura un cierto número de grados, es proporcional a la masa de ese cuerpo. a mayor masa, mayor tiempo tendrás que calentarlo. mi abuela conocía esa ley termodinámica por experiencia, y es que las abuelas son muy sabias. ^_^

hay que tener cuidado cuando nos dejamos algo en el fuego. mientras esther habla por teléfono, su hermana laurita trata de avisarla, pero está demasiado absorta...


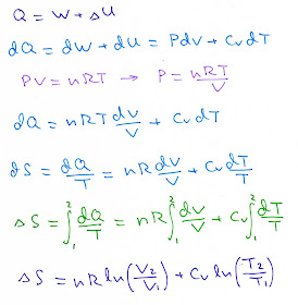
la entropía es una medida del desorden de las partículas de un sistema. cada pequeño incremento de entropía (S) es igual al incremento del calor transmitido al sistema (Q) dividido entre la temperatura (T) en ese instante: dS = dQ/T.

se puede obtener una expresión del incremento de entropía para un gas ideal, a partir del primer principio de la termodinámica y la ley de los gases ideales.
Q = calor intercambiado,  W = trabajo mecánico,  ΔU = incremento de energía interna,
Cv = calor específico a volumen constante,
P = presión,  V = volumen,
n = número de moles,  R = constante de los gases ideales,  T = temperatura,
ΔS = incremento de entropía.


pero yo quiero quedarme sobre todo con la idea de que el incremento de entropía es igual al calor entre la temperatura: ΔS = Q/T. eso quiere decir que el desorden comunicado a un sistema será mayor cuanto mayor sea el calor transmitido, o cuanto menor sea la temperatura. una fracción es grande cuando el numerador es grande y/o cuando el denominador es pequeño.

resulta curioso, si uno lo piensa. cuando la temperatura de un sistema es baja, la vibración de las partículas es poco intensa. están relativamente quietas, como si dijéramos. en cuanto les transmitas un poco de calor, vas a aumentar mucho su desorden con respecto a la situación tranquila en la que se encontraban. en cambio, cuando la temperatura es alta, las partículas están muy agitadas. aunque les suministres calor, no va a ser fácil aumentar de manera apreciable su desorden. más desordenadas de lo que están ya...

esto se podría aplicar a muchas situaciones de la vida real. si una habitación está muy ordenada, en cuanto descoloques un poco las cosas, va a perder ese orden que tanto ha costado conseguir. en cambio, si la habitación ya está desordenada, aunque revuelvas no la vas a dejar mucho peor... o sí? ;)

43 comentarios:

  1. Ja,ja..por eso lo mejor es no ser tan milimétrico a la hora de hacer las cosas. Un poco de desorden de vez en cuando no viene tan mal.
    Un abrazo

    ResponderEliminar
  2. Pues lo explica fenomenal. La Pasta, no sé por qué, tiene esa tendencia a salirse del cazo, cuando arranca la ebullición, y oye, deja la cocina fatal, pero cuando uno lo piensa, todo obedece a leyes físicas. Yo sería la Ester de tu historia :-), se entiende ¿no? :-)

    Un abrazo y gracias por compartir. Feliz tarde.

    ResponderEliminar
  3. Amigo Chemita.
    Me hicieron gracia esas viñetas.
    Por lo visto, esa Esther es una desastrosa.. Jajaja.

    Yo la verdad, y voy a confesarlo, soy demasiado ordenada en mis cosas.
    A veces me enfado conmigo misma, pues me crea un estrés innecesario.

    Buena publicación. Doctor.
    Pasa un buen Fin de Semana.
    Saluditos. ����

    ResponderEliminar
  4. Que maja tu abuela! Que sabías son las personas mayores y cuantas se nos han ido!
    Yo ahora he ordenado todo,pero en pocos días volverá un poco el desorden !
    La falta de tiempo influye en el orden.
    Eso sí,las hay peores que yo jaja.
    Besotes Chema .

    ResponderEliminar
  5. Yo soy un tanto desordenada para muchas cosas.

    Besos.

    ResponderEliminar
  6. rita, si eres demasiado perfecto en todo, el día que no seas perfecto será una tragedia. mejor cometer algún error de vez en cuando. esto es aplicable a muchas cosas en la vida. ^_^

    albada, yo también soy tan despistado como esther, soy casi su versión masculina. ;) la cocina hay que estar limpiándola todo el tiempo, siempre hay cosas que salpican de un sitio o de otro...

    romaxu, esther está siempre en las nubes, jeje. yo también tengo mis manías, como por ejemplo que no se abra un nuevo brick de leche cuando ya hay uno abierto. en una academia de idiomas a la que fui, cogí fama de cabrearme conmigo mismo cuando cometía algún fallo. mis compañeros de clase bromeaban conmigo sobre ese perfeccionismo que tenía. :D

    imanara, yo admiro a las personas mayores que viven en el campo, y sólo con mirar al cielo ya saben qué tiempo va a hacer. la experiencia y la intuición hacen mucho. el orden no está en mi herencia genética, me temo. :D

    amapola, dicen que son signos de inteligencia ser desordenado, tener mala letra y hablar solo. yo debo de ser superdotado porque cumplo las tres a la perfección.;)

    besos!!

    ResponderEliminar
  7. Me encantan la palabra "entropia" , ahora bien, con el desorden no puedo.
    SAludos

    ResponderEliminar
  8. Hola Chema, yo soy muy ordenada pero no maniática, como no vivo sola tengo que ser flexible con mis "convivientes", más desordenados que yo. Y también me toca ordenar lo que no es mio, casi siempre.
    Un abrazo.

    ResponderEliminar
  9. Me encanta tu blog. Es didáctico, divertido en ocasiones y siempre ameno. De pequeña solía pasarme muchos ratos en la cocina, de mirona, con mi madre o abuela, era muy curiosa, esta entrada me lleva a aquellos años de los que tengo muy buenos recuerdos...

    Un abrazo.

    ResponderEliminar
  10. Qué buena similitud. Yo he de reconocer que soy, a veces, demasiado ordenada y metódica con mis cosas, tanto, que si alguien las mueve un centímetro, me doy cuenta 😄 Pero también es cierto que personas que conozco me dicen que para ellos es todo lo contrario. Dentro de su desorden tienen un orden y encuentran las cosas enseguida. Y está claro que, como dices, y en esa habitación de Esther, por mucho que se revuelva no va a empeorar 😅

    Y que te dejo un abrazo enorme con cariño, y te deseo un muy feliz finde, mi querido Chema 💙

    ResponderEliminar
  11. Me hubiera venido bien toda esta información. Puse huevos a cocer con el fuego al maximo para que se hicieran pronto, tenia prisa por irme a trabajar, tenia tanta prisa que me fui sin acordarme de los huevos. (No tenia móvil) al llegar al despacho me llamó mi hija (afortunadamente tenia turno de tarde y por la mañana estudiaba) "¿Mamá que hago con los huevos? -¿Que huevos? -los que estan saltando en la cocina encima de un cazo negro." me habría venido muy bien tu explicación jeje Un abrazo

    ResponderEliminar
  12. Mi madre siempre dice que teniendo una habitación ordenada nunca se nota cuán sucia está. No sé si será por eso pero soy una obsesa del orden. Y referente a las abuelas... son muy sabias, Chema. Al leerte me he acordado de la mía y de sus consejos.

    Mil besitos llenos de cariño para ti, solete :)

    ResponderEliminar
  13. La entropía en volandas, Chema entre el desorden y eligiendo el mensaje ideal a nivel binario.
    Magnífica post, amigo.
    Un abrazo.

    ResponderEliminar
  14. Interesantísimo el tema que nos traes, Chema. De pronto me ha venido a la mente la fuerza del calor del sol, que mueve el viento y lo calienta, sube de temperatura y se forman corrientes frías y calientes. Ahí está la tormenta con sus relámpagos, truenos y lluvia que arrasa y nos pone a todos en guardia...También podría servir una discusión subida de tono, cuánto más se acalora, más se grita y hasta puede estallar, Dios nos libre de ello,porque somos imprevisibles...En fin, que la ley termodinámica da para mucho y los antiguos eran muy sabios, como lo era tu abuela.
    Gracias por tu lección de física, que nos viene bien.
    Mi abrazo y feliz finde.

    ResponderEliminar
  15. ¡Hola!
    Ay qué sabias son las abuelas, jamás se equivocan.
    Me ha encantado la explicación, haces que parezca muy fácil aunque en realidad no lo es tanto.
    Muy feliz sábado.

    ResponderEliminar
  16. Jajaja yo soy capaz de dentro del desorden montar un caos insuperable, eh?

    Bueno he exagerado, no regular en cuestiones de orden...

    Un beso grande, todo se hace muy interesante según lo cuentas, tienes ese don de la enseñanza. No todo el mundo puede ser un buen profesor.

    ResponderEliminar
  17. Un día tal vez me anime a decirte por qué entre tu entrada y los comentarios casi muero de risa... cosas del idioma!

    Besos!

    ResponderEliminar
  18. manuela, yo soy desordenado para algunas cosas, pero ordenado para otras. por ejemplo, me pone muy nervioso ver tazas de distintos juegos entremezcladas en el armario de la vajilla.

    ilona, ahí le has dado, a mí lo que más duro se me hace es ordenar lo que ordenan otros o limpiar lo que ensucian otros. no tendría paciencia para compartir piso, a menos que fuera gente con la que estuviera muy compenetrado. ^_^

    mari carmen, me alegra que esta entrada te haya despertado buenos recuerdos! a mí de pequeño me gustaba mirar lo que se hacía en la cocina de mi casa de veraneo, que era muy amplia. en la mayoría de las cocinas, tres son multitud, y hasta dos si me apuras. ^_^

    ginebra, yo también noto cuando me cambian algo de su sitio. ^_^ eso lo debo haber heredado de mi otra abuela, la paterna, que no se le escapaba una. la que tiene todo controlado a pesar del posible desorden, es mi madre. le preguntas dónde está algo, y te lo dice al milímetro.

    besos!!

    ResponderEliminar
  19. ester, eso es un motivo de peso para que tu hija te llamara al trabajo, jeje. no sé si con tanta cocción los huevos estarían muy aprovechables al final. ;) por ese tipo de descuidos, que yo también los tengo, luego nos volvemos muy maniáticos con las comprobaciones al salir de casa...

    auroratris, yo para ser ordenado tendría que empezar desde cero en una casa nueva, jeje. las abuelas (y los abuelos también), con todos sus años de experiencia, fíjate si sabrán cosas. con una mirada ya intuyen lo que va a pasar.

    joaquín, me alegra que te haya gustado! ya he hablado de la entropía en varias entradas, me parece un concepto casi filosófico. y tengo más ideas sobre entropía para el blog, pero las espaciaré para no saturar.

    mªjesús, lo de la discusión subida de tono me ha recordado a una entrevista que le hicieron a fernando trueba. decía que había desarrollado un instinto para detectar cuándo se estaba caldeando el ambiente y podía surgir una pelea en cualquier momento, jeje. en cuanto al sol, pequeñas diferencias en la distancia de la tierra al sol, o de inclinación del eje de la tierra, o de la atmósfera, pueden dar lugar a diferencias climáticas enormes...

    ResponderEliminar
  20. marigem, llevo una racha de escribir posts que se mueven entre las matemáticas y la filosofía, jeje. en éste he puesto algunas ecuaciones escritas a mano por mí, casi por no perder la costumbre. ^_^

    adelina, me gusta explicar las cosas con palabras sencillas que todo el mundo entienda. :) pero como profesor me falta un poco de capacidad de adaptación e improvisación. si de un día para otro me piden que explique cosas de estadística de nivel universitario que ya no recuerdo, me pillan en pañales.

    alma, tal vez hay cosas que en español rioplatense tienen algún doble sentido? yo sé que en américa latina en general, hay que evitar la palabra 'coger'. :D la escritora carmen posadas, que nació en uruguay y lleva muchos años viviendo en españa, dominará ambos registros. ^_^

    besos!!

    ResponderEliminar
    Respuestas
    1. En este caso, Chema, no ha sido por el español sino por el italiano... “pon menos agua en el...” aquí eso podría ser peligroso cuanto menos! 🤣🤦🏻‍♀️

      Eliminar
  21. Amigo Chema, siempre tenemos que hacer caso a las abuelas como bien dices son muy sabias.
    y es cierto que un cuarto donde todo esta ordenado y otro desordenado este último hay algún que otro grado más de calor ..
    Una buena teoría tus palabras siempre aprendemos de ti ..
    Un fuerte abrazo y besote para este sábado.

    ResponderEliminar
  22. Qué bien explicas las cosas, es que me ha quedado todo clarito, enhorabuena...

    Besos en la noche y que tengas un maravilloso domingo.

    ResponderEliminar
  23. Chema,vaya lección más potente!!
    Qué bueno, lo explicaste genial!
    Pero las abuelas tienen ese conocimiento fuera de las leyes físicas(para qué las necesitaban,si su instinto era ya física pura)
    Yo tenía una tía que decía que no era más limpio el que más limpias,sino el que lo sabe conservar.Pero a este respecto...soy como mi cabeza:Me gusta mi orden desordenado
    Besucos guapisimo!!

    ResponderEliminar
  24. Muy buena explicación, si pones la tapa de la cazuela también tarda menos en calentarse el agua que si la dejas destapada.
    Un besito

    ResponderEliminar
  25. Contigo da gusto repasar ciertos temas casi olvidados y depaso dan ganas de esconderse debajo de la cama una larga temporada. Cuídate mucho pero mucho mucho.

    Besines utópicos.-

    ResponderEliminar
  26. Ay, el orden!!! Qué difícil es de mantener! Yo ordeno continuamente pero desordeno aún más continuamente y no hay forma de que dure...
    Me encanta ver programas de casas desordenadas o descuidadas que luego arreglan y decoran y lo dejan todo perfecto.. pero cuándo en la vida real está así una habitación??? Solo el rato entre tu limpieza y el uso normal de esa habitación: demasiado poco!!!
    Muchos besos, guapo!

    ResponderEliminar
  27. Dicen que el medio del caos es cuando se produce el orden... O algo parecido. pero sí es cierto que cuando algo está alterado, un poco más no se nota.
    Una habitación, con la cama hecha, ya está recogida :-)
    Entropia... me encanta ese concepto. Bien aplicado al Pecado, sería muy útil y adecuado.
    Un beso enorme. Muy feliz tarde de domingo.

    ResponderEliminar
  28. campirela, lo que comentas se cumple en mi caso. mi habitación no es un prodigio de orden, lo confieso. :D y siempre se mantiene a mayor temperatura que el resto de la casa, aunque abra la ventana para ventilar.

    paula, en la escuela donde estudié, a este tipo de asignaturas les daban un enfoque muy analítico, con muchas ecuaciones, y se perdía un poco el sentido físico que había detrás...

    gó, yo también estoy de acuerdo en que el más limpio es el que menos ensucia. hay que ir limpiando a medida que cocinas, a medida que comes... no dejar que se acumule suciedad y luego hacer limpiezas épicas. yo dentro de mi orden-desorden, también me entiendo. ;)

    maribel, es verdad, si tapas el cazo no se escapa el calor, y todo ese calor se concentra en elevar la temperatura del agua. son cosas que se van aprendiendo con la experiencia. :)

    besos!!

    ResponderEliminar
  29. irma, este curso y el pasado tuve que explicar problemas de transferencia de calor, en física de bachillerato. es un tema interesante y muy de la vida real.

    rosana, es lo malo, lo difícil que es ordenar y lo fácil que es desordenar, jeje. esas fotos de los catálogos de decoración no son reales. y cuando graban a un famoso en su casa, está todo más preparado y calculado... ^_^

    linda, grandmothers will always be remembered. <3 keeping a room tidy all the time is a hard job! i guess esther had lost an earring or a little thing like that, otherwise i can't figure what she was looking for under her bed. :D

    mag, con la cama hecha, aunque la habitación no esté perfecta, ya gana mucho. la entropía es un concepto físico, pero también es muy filosófico. la naturaleza tiende a ciertos pecados, de la misma manera que tiende al aumento de la entropía. ;)

    besos!!

    ResponderEliminar
  30. Hola Chema , te leía anoche y me quede a mitad , y esta mañana iba a venir a visitarte y la verdad es que con hacer la comida , y arreglar un poco la casa , mira a que horas paso a comentarte , decirte que espero que con las explicaciones que nos das , tus alumnas sean un poco más lista que yo , por que a habido un momento en que me he perdido en tu explicación , ya que sabes que los números no son mi fuerte , pero la última viñeta , esta muy bien algo parecido me pasa a mi en mi cuarto con los libros y la ropa , jajajajajaja ... En cuanto al comentario que me dejas en mi última entrada te diré que fuiste el único que viste el detalle de la fecha de mi año de nacimiento , y te digo que como detective matemático , no tienes precio ya que vales un potosí , jajajaaj besos de flor.... Eoooo 😜😎😊 te deseo una feliz semana amigo mío.

    ResponderEliminar
  31. Para levantar primero nos tenemos que caer, espero que cuando nos levantemos veamos una luz agradable, que no nos ciegue.
    Es cierto, cuando pongo enredos a penas me doy cuenta, pero cuando tengo que ordenar, termino agotada, jajaja...Muy buenas explicaciones chema, pero yo, por lo visto y por lo que he entendido, ¿si no se tapa la olla tarda menos en calentar? yo pensaba lo contrario, en fin, siempre aprendemos algo nuevo contigo.
    Un gran abrazo amigo.

    ResponderEliminar
  32. flor, en una entrada del blog tengo que condensarlo mucho todo, a mis alumn@s les explico las cosas de manera más detallada. además las cosas que dan no son tan complicadas. ;) en la última viñeta, la habitación de esther me parece muy ordenada comparada con la mía. ^_^ con las fechas de nacimiento, siempre estoy haciendo cálculos. asusta pensar las edades que tendrán algunos profesores que me dieron clase. :O

    lua, todavía tengo más ideas relacionadas con la entropía para futuras entradas del blog, cuando no sepa sobre qué escribir. ;) leí hace poco que las configuraciones caóticas de las partículas eran las más probables, y por eso la naturaleza tendía a ellas. qué interesante lo que has dicho sobre la música! una melodía siempre implica cierto orden, aunque hay composiciones más libres e improvisadas, como las del jazz o las del rock progresivo.

    carmen, lo de tapar la olla lo ha comentado maribel (nancy mi inspiración), y está en lo cierto. :) de esa manera no se escapa el calor. el orden lleva consigo mucho trabajo, no sólo para conseguirlo sino también para mantenerlo. en el colegio siempre me criticaban que mi presentación en los cuadernos y en los exámenes era un poco caótica. ^_^

    besos!!

    ResponderEliminar
  33. Mi padre decia dentro de mi desorden ahi un orden. Y aunque tienes razon de que cuando mas agua mas tardara en calentarse, yo ahora que tengo Vitro, se calienta en un plis si no me doy cuenta, jaja.

    ResponderEliminar
  34. Yo también pongo demasiada agua en el cazo, mi marido me lo dice siempre 😆

    Besos.

    ResponderEliminar
  35. Fíjate que teniendo la habitación ordenada parece como si estuviera limpia, a mí me gusta el orden, pero ahora con mi cachorrito, que es como un bebé, tengo media casa revuelta, porque lo dejo todo colocado y a los pocos minutos papeles por el suelo, si es que todo lo muerde jajaja.

    Por cierto esa palabra me resulta muy extraña la de "entropía".

    Me ha encantado la viñeta de Esther qué recuerdos me traes con ella de mi adolescencia.


    Un beso.

    ResponderEliminar
  36. Por eso es por lo que el agua se desordena cuando hierve???
    Je je je
    Entropía, palabra que conocí en tu blog.
    Me gusta el orden, creo que es constructivo.
    Besosssss

    ResponderEliminar
  37. Si es que las abuelas sabían de todo, y sin hacer matemáticas.

    ResponderEliminar
  38. bertha, pues tu padre tenía razón. la manera que tiene cada uno de colocar las cosas, para uno mismo tiene su lógica. al poner a hervir agua, si vigilas no hierve nunca, pero como te vayas a hacer otra cosa mientras tanto, al volver está como un volcán. :D

    mari (devoradora), al hacer el café del desayuno para mis padres (yo tomo té), prefiero poner agua de más aunque tarde en hervir, y que les dé para dos cafés generosos. ^_^

    maría, los perros cachorros son muy inquietos, jeje. bueno, un poco de desorden da cierta sensación de vida. la palabra 'entropía', quizá estoy acostumbrado a escucharla, pero en otros ámbitos puede sonar extraña. hay una firma de moda que se llama 'intropia'. ^_^

    maite, el agua al hervir es un caos total, coexisten el estado líquido y el estado líquido, las burbujas van subiendo como locas... me alegra que mi blog sirva para que se aprenda algo! ;)

    ses, hay conclusiones a las que se pueden llegar por modelos físico-matemáticos y por experiencia. ambas formas de conocimiento son necesarias. :)

    besos!!

    ResponderEliminar
  39. Atinada noción sobre Física la de tu abuela, aún sin ella saberlo.

    Lo que reflexionas sobre las situaciones mundanas es muy acertado. Es el estar atrapados entre homeostásis y transestasis. Orden-Desorden. La noción de lo que sería un orden perfecto junto con la certeza de que no puede conseguirse.

    ResponderEliminar
  40. Pues yo soy como Esther, y es que en mi desorden lo tengo todo perfectamente controlado. Sin embargo cuando me tocan algo, ya fuera antes mi madre o ahora mi marido, ya me vuelvo loca y no lo encuentro jajajaa. Y creo que nos pasa a muchas más gente! Una entrada muy guay! Gracias por pasarte por mi blog!

    ResponderEliminar
  41. alexander, bienvenido! en la naturaleza hay barreras inalcanzables, como la velocidad de la luz o la entropía cero. esta última se manifiesta constantemente en la vida real, el orden total y la perfección no existen.

    raquel, a mí me fastidia mucho que me escondan cosas que uso a menudo y que tengo en un lugar bien visible y al alcance de la mano (kleenex, algún medicamento), porque al parecer hacen feo si viene alguna visita. al que no le gusta lo que hay, que no mire!

    ResponderEliminar